文章介绍了某电厂660MW 燃煤机组SCR脱硝装置的超低排放性能评估结果。在100%、75% 及50% 三个负荷工况下,对整个脱硝装置进行超低排放性能评价分析。研究结果表明,通过对SCR 脱硝装置进行提效改造,可以显著提升装置的脱硝效率,达到超低排放的标准。
0 引言
氮氧化物(NOx) 作为大气主要污染物之一,会导致光化学污染、酸雨、臭氧层破坏以及温室效应等环境问题,并威胁人类身体健康。为了使燃煤电厂氮氧化物的排放得到有效控制,国家环保部、发改委和能源局于2015年12月联合发布了《全面实施燃煤电厂超低排放和节能改造工作方案》,要求所有具备改造条件的燃煤电厂到2020年底力争实现超低排放,即氮氧化物排放浓度不高于50mg/m3(基准氧含量6% 条件下)。目前国内很多燃煤机组都面临着脱硝超低排放工程改造的问题。
1 研究对象及内容
本文以某电厂660MW 机组为研究对象。该机组脱硝装置采用SCR 工艺,还原剂采用液氨蒸发方案。超低排放改造前,在设计煤种及校核煤种、锅炉最大工况(boiler maximum working condition,BMCR)、处理100% 烟气量的条件下,脱硝系统运行时入口处NOx含量600mg/Nm3,出口处NOx含量不大于100mg/Nm3,脱硝效率不小于87%,未达到超低排放标准。该燃煤机组进行脱硝超低排放改造,对改造完成后的SCR 脱硝超低排放工程进行评估,在100%、75% 及50% 三个负荷工况下,对整个脱硝设备进行超低排放性能评价分析。
2性能评估方法
分别在100%,75%及50%三个负荷工况下,用网格法测量SCR反应器出人口NO、浓度、烟气流速、烟气温度及反应器出口氨逃逸的浓度分布。要求改造完成后,SCR脱硝反应器出口处烟气中NO、含量不大于45mg/Nm3,氨逃逸浓度不大于3ppm。主要测试仪器如表1所示。
3研究结果及分析
机组超低排放改造完成后,分别在100%,75%及50%三个负荷工况下,测得SCR脱硝装置反应器出人口 NO、浓度值、烟气温度和烟气流速,以及出口氨逃逸浓度值及偏差比较如表2所示。
表1 主要测试仪器

表2 SCR脱硝装置反应器出入口烟气参数及偏差比较


三个工况下SCR 脱硝装置反应器出入口NOx浓度分布如图1所示,测试深度为A 端:1m,2m 及3m;B 端1.3m,2.3m 及3.3m。从结果中可以看出:脱硝装置出口NOx浓度总体分布较为均匀。高负荷下(660MW 与510MW)SCR 入口NOx浓度较高,平均值大于200ppm(410mg/m3);出口浓度最大值为21ppm(约43.05mg/m3), 低于超低排放限值50mg/m3,达到了超低排放的标准。满负荷下SCR 装置的脱硝效率可达到92.2%,相比于改造之前(87%) 得到了显著的改善。

图1改造后SCR脱硝装置反应器出入口NO‑浓度分布,d为测试深度
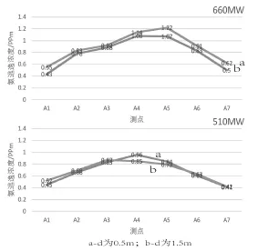
反应SCR脱硝装置性能水平的另一重要参数是出口氨逃逸浓度,其值主要取决于脱硝反应器内喷氨流量分配、催化剂性能等因素,及其速度、温度场。机组在超低排放改造后SCR出口氨逃逸浓度如图2所示,测试深度分别为0.5m及1.5m。从图中可以看出,改造完成后,SCR脱硝装置反应器出口氨逃逸浓度较低,最大工况下出口NOx浓度值均小于3ppm,满足设计要求。
三个工况下脱硝装置出人口烟气温度总体较高,低负荷时(50%负荷)基本能达到340℃,保证了脱硝装置的稳定运行。脱硝装置出人口烟气温度分布较为均匀,均小于最大绝对偏差10℃。
三个工况下脱硝装置人口烟气流速分布略有不均,相比于改造前有较大改善;而反应器出口烟气流速分布比较均匀,总体优于人口值。这表明了SCR反应器内部流场设计合理,对人口烟气流速具有较好的调节作用。

图2 改造后SCR脱硝装置反应器出口氨逃逸浓度,d为测试深度
4 结语
文章以某电厂660MW 机组为研究对象,针对该燃煤机组进行了SCR 脱硝装置的流场优化设计改造,并有如下结论:
(1) 高负荷工况下,机组脱硝入口氮氧化物浓度较高,大于400mg/m3。建议对低氮燃烧器进行优化调整,同时优化锅炉燃烧方式(如二次风挡板开度、磨煤机运行方式等),降低锅炉燃烧氮氧化物的生成;
(2) 脱硝装置出口NOx浓度总体分布较为均匀,三个工况下SCR 出 口NOx浓 度 最 高 为21ppm(约43.05mg/m3),满 足 超低排放标准;脱硝效率也相比于改造之前得到了显著的提高(92.2%vs.87%);
(3) 脱硝装置氨逃逸浓度值较低,满足氨逃逸小于3ppm 的设计要求;
(4) 脱硝装置出入口烟气温度分布较为均匀,均小于最大绝对偏差10℃;
(5) 脱硝反应器出口烟气流速分布优于入口烟气流速分布,表明装置流场入口烟气流速具有较好的调节作用;
(6) 机组在满负荷下运行测得SCR 脱硝装置阻力与流场模拟结果相当,证明了模型的可靠性。以上结果均说明,使用流场优化对SCR 脱硝装置进行提效改造,可以显著提升装置的脱硝效率,达到超低排放的标准。








官方公众号
官方小程序