溢流口的设置高度及注意事项
①、 溢流口一般设置在女儿墙上,女儿墙防水卷材上返高度一般为 250mm左右,溢流口底可津贴防水卷材边缘设置;(故溢流口距离屋面的结构面一般留 250mm,可紧贴防水卷材)
②、 屋面最大雨水积水厚度由结构专业允许的屋面活荷载确定;
③、因屋面有坡度,所以溢水口应尽量靠近雨水斗,这样可使溢流口底与雨水斗处屋面高差缩小;
④、溢流口布置应避开建筑物出入口,以保证行人安全。树上鸟教育给排水设计杨老师。
A、屋面雨水排水管道设计重现期:

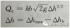
B、溢流口计算公式:

①、一般屋面溢流口形式均为宽顶堰, m 取 320;如采用金属薄壁堰时,应取其他相应数值;
②、溢流口宽度可根据需要取值,一般宜为 100~300mm;
③、 一般结构设计上人屋面活荷载为 2KN/㎡,屋面最大积水深度为 200mm左右,溢流口底部距离屋面完成面按 100~150mm 考虑,且应靠近雨水斗设置。
管道、设备的防冻、隔热、防结露问题
A、管道、设备的保温分防冻保温、隔热保温和防结露保温三种保温类型
防冻保温是指管道和设备中的水在冬季冰冻地区,在非采暖房间应采取的保温防冻措施。隔热保温是指热水系统的设备、管道作保温层以减少热散失,冷却循环水与补水管作保温层能减少太阳光热能辐射引起管中水的升温。防结露保温是指防止夏季管道和设备中的冷水温度低于空气露点温度时,外壁产生结露水珠,影响环境、腐蚀管道与设备。
B、采用保温层防冻的适用范围较窄,其适用条件如下
①、寒冷地区可用,严寒地区不可用,否者保温层太厚、太不经济;②、管内介质流动状态较好者可用,流动状态差或基本不流动者如消防管道不可用;③、室内原理直通室外的门、洞处,如不采暖地下车库原理车道出、入口的内区生活给水管可用,靠近者(一般在车道出入口 10~15m 内)的生活给水管道不可用;
C、电伴热+保温层防冻使用范围:①、严寒地区不能断水的不采暖区域的室内给、排水管道;②、 冬季不运行的冷却水、水景循环水及补水等系统;
D、隔热措施:需做隔热保温的管道及设备
①热水供水、回水干管、立管及其管件、附件;
②水加热器、膨胀罐、储热水罐、储热水箱等热水用设备和容器;
③冷却循环水管、冷却水补水管及其管件、阀门;
④蒸气、凝结水、热媒水供水管、太阳能集热系统管道及其管件、阀门等;
⑤热水入户供、汇水支管一般不作保温层,因其占地大,不易更换保温层和维护管理。但敷设在垫层及嵌墙铜管、不锈钢管应采用塑复管道,塑复层可起一定的保温作用,还能防止金属管材锈蚀,保护管道;
E、保温层厚度①、热水供、回水管道保温层厚度(mm)

②、蒸气、凝结水、热媒水管道保温层厚度( mm)

注:
a、表中的保温层厚度按饱和蒸汽、凝结水、高温热媒水温度为 150℃,低温热媒水温度为 100℃,环境温度为 10℃;
b、A 表示饱和蒸汽、凝结水、高温热媒水管道保温层厚度;B 表示低温热媒水温层厚度。








官方公众号
官方小程序